在色彩管理領域,我們對CIE1976(Lab*)色空間與色差公式(ΔE*ab)并不陌生。本文將從色空間的背景、含義、計算方法及色差標準范圍等方面全面介紹 CIELAB 和 ΔE*ab。

CIELAB背景
CIE 1976 (L*a*b*) 色空間(簡稱 CIELAB)。
1976年,為獲得視覺上較均勻的顏色空間,CIE 推薦使用 CIELAB色空間,并規定了色差計算方法 ΔE*ab。
目前,CIELAB是使用最廣泛的色空間,ΔE*ab 是工業界和學術界評價顏色差異的標準工具。
Lab數值含義
CIELAB是近似均勻三維色空間,由直角坐標L*,a*,b*構成,色差儀Lab數值主要包含三個維度,我們結合具體的測量案例進行理解。
1 L值 a值 b值
L值代表物體的明亮度,a值為紅綠色,b值為黃藍色,其中:
a+表示紅色,a-表示綠色;
b+表示黃色,b-表示藍色;
示例:某塑膠制品的lab值分別為:77.27、-2.04、48.16
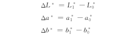
2 △L*值 △a*值 △b*值
△L*、△a*、△b*為參考樣品和被測樣品之間明度L*和色度指數a*,b*的差值。色差值用△E來表示,是總色差。
△L+表示偏白,△L-表示偏黑;
△a+表示偏紅,△a-表示偏綠;
△b+表示偏黃,△b-表示偏藍
示例:某塑膠制品的△l、△a、△b值分別為:3.52、1.24、1.85,代表偏白偏紅偏黃;△E值為4.17,產品檢測不合格(三恩時測色儀可以直接顯示產品合格/不合格結果)。
ΔE*ab色差公式
ΔE*ab 色差公式是在CIELAB色空間的理論基礎上產生的,計算△E總色差首先要知道CIELAB的直角坐標L*,a*,b*,以及兩個樣品之間的顏色差值△L*、△a*、△b*。
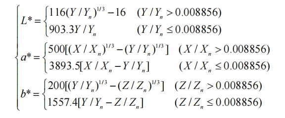
1 L*,a*,b*基本坐標
L*,a*,b*基本坐標由以下式子構成

式中
X,Y,Z:顏色樣品的三刺激值
Zn,Yn,Zn:CIE標準照明體照射在全漫反射體上,反射到觀察者眼中的白色三刺激值;
2 ΔE*ab色差公式
L*a*b*空間中求色差的公式為:


式中,
△L*:代表明度差
△a*:代表紅綠色品差(a*軸為紅綠軸)
△b*:代表黃藍色品差(b*軸為黃藍軸)
在實際使用中,除了由樣品的三刺激值(X,Y,Z)求出L*,a*,b*之外,常常要用到相反的逆過程,即由樣品的L*,a*,b*坐標,求樣品的三刺激值(X,Y,Z):

ΔE*ab 色差公式雖不完美,但其直觀性使其成為工業界的基準。對于普通用戶來說,不需要掌握復雜的計算公式,色差儀會直接給出色差測量結果。
色差值標準范圍
從人眼觀察的角度來說,色差儀與人眼視覺效果對照情況如下。通常認為,色差值大于5,顏色看起來差別就比較明顯了。
但是不同行業色差值的標準范圍是不一樣的,可以參照具體的行業規范和國家標準。
以下列舉了幾個不同行業的顏色色差規范,以供參考:
1 紡織行業
紡織品行業色差值的合格范圍多為0-2.0之間,對照GB/T 250樣卡,也就是4級及4級以上。
如:《GB/T 2660-2017 襯衫》規定襯衫領面、過肩、口袋、明門襟、袖頭面與大身色差高于4級,其他部位色差不低于4級。
2 印刷行業
不同的印刷品等級對于色差的要求不一樣的,但無論是精細產品還是一般產品,色差值均不超過6。
如:《GB/T 7705-2008平版裝潢印刷品》
3 涂料行業
大多數涂料并無統一的標準,如:《GB/T 3181-2008 漆膜顏色標準》規定,本顏色標準的各顏色允許色差范圍由供需雙方商定。色差范圍確定后,不得隨意變動,如需調整,亦應經供需雙方商定。
但結合行業規范來看,一般工業涂料:
ΔE*ab ≤ 2.0:可接受范圍(目視不明顯)。
ΔE*ab ≤ 1.0:高要求場景(如汽車修補漆、電子產品)。
更多行業色差標準,請關注我們的后續更新!